Skip to content Skip to sidebar Skip to footer

Actividades Sobre Las Prendas De Vestir En Ingles - Espanol Ele Ropa Hojas De Trabajo Mas Descargados 41 Results

De todas las canciones que puedas encontrar sobre prendas de ropa en inglés, selecciona varias de ellas que le gusten y las encuentre divertidas. Si bien es cierto, que en todos los campos existen diferencias en vocabulario entre . Para hablar de una prenda de vestir diríamos garment o item of clothing. Helen tenía un par de medias extra en su bolso de gimnasia. Bingo_clothes and accessories_teacher´s cards prendas en ingles, prendas de ropa.

Si bien es cierto, que en todos los campos existen diferencias en vocabulario entre . 21 Ideas De Tareas Clothes En Ingles La Ropa En Ingles Ingles Ninos
21 Ideas De Tareas Clothes En Ingles La Ropa En Ingles Ingles Ninos from i.pinimg.com
Bingo_clothes and accessories_teacher´s cards prendas en ingles, prendas de ropa. La ropa o prendas de vestir en inglés: Ficha online de prendas de vestir para preescolar. Puedes hacer los ejercicios online o descargar la ficha como pdf. Helen had a spare pair of socks in her gym bag. De todas las canciones que puedas encontrar sobre prendas de ropa en inglés, selecciona varias de ellas que le gusten y las encuentre divertidas. Helen tenía un par de medias extra en su bolso de gimnasia. De todas las canciones que puedas encontrar sobre prendas de ropa en inglés, selecciona varias de ellas que le gusten y las encuentre divertidas. Para hablar de una prenda de vestir diríamos garment o item of clothing.

Ejercicios de vocabulario en inglés con imágenes # 3.

Ejercicios de vocabulario en inglés con imágenes # 3. He escogido la temática de las prendas de vestir (clothes) en esta edad, para que introduzcan nuevo vocabulario en inglés sobre la ropa, pues a esta edad, . Helen tenía un par de medias extra en su bolso de gimnasia. Si bien es cierto, que en todos los campos existen diferencias en vocabulario entre . Para hablar de una prenda de vestir diríamos garment o item of clothing. De todas las canciones que puedas encontrar sobre prendas de ropa en inglés, selecciona varias de ellas que le gusten y las encuentre divertidas. Ficha online de prendas de vestir para preescolar. Puedes hacer los ejercicios online o descargar la ficha como pdf. De todas las canciones que puedas encontrar sobre prendas de ropa en inglés, selecciona varias de ellas que le gusten y las encuentre divertidas. Helen had a spare pair of socks in her gym bag. La ropa o prendas de vestir en inglés: Bingo_clothes and accessories_teacher´s cards prendas en ingles, prendas de ropa.

De todas las canciones que puedas encontrar sobre prendas de ropa en inglés, selecciona varias de ellas que le gusten y las encuentre divertidas. Bingo_clothes and accessories_teacher´s cards prendas en ingles, prendas de ropa. De todas las canciones que puedas encontrar sobre prendas de ropa en inglés, selecciona varias de ellas que le gusten y las encuentre divertidas. Para hablar de una prenda de vestir diríamos garment o item of clothing.

Puedes hacer los ejercicios online o descargar la ficha como pdf. Ejercicios De Ropa En Ingles Vocabulario Y Solucion
Ejercicios De Ropa En Ingles Vocabulario Y Solucion from inglesfull.com
Helen had a spare pair of socks in her gym bag. Ficha online de prendas de vestir para preescolar. Bingo_clothes and accessories_teacher´s cards prendas en ingles, prendas de ropa. De todas las canciones que puedas encontrar sobre prendas de ropa en inglés, selecciona varias de ellas que le gusten y las encuentre divertidas. Puedes hacer los ejercicios online o descargar la ficha como pdf.

Helen tenía un par de medias extra en su bolso de gimnasia.

Si bien es cierto, que en todos los campos existen diferencias en vocabulario entre . Para hablar de una prenda de vestir diríamos garment o item of clothing. Ficha online de prendas de vestir para preescolar. Helen tenía un par de medias extra en su bolso de gimnasia. De todas las canciones que puedas encontrar sobre prendas de ropa en inglés, selecciona varias de ellas que le gusten y las encuentre divertidas. De todas las canciones que puedas encontrar sobre prendas de ropa en inglés, selecciona varias de ellas que le gusten y las encuentre divertidas. Bingo_clothes and accessories_teacher´s cards prendas en ingles, prendas de ropa. Puedes hacer los ejercicios online o descargar la ficha como pdf. He escogido la temática de las prendas de vestir (clothes) en esta edad, para que introduzcan nuevo vocabulario en inglés sobre la ropa, pues a esta edad, . Helen had a spare pair of socks in her gym bag. La ropa o prendas de vestir en inglés: Ejercicios de vocabulario en inglés con imágenes # 3.

Helen tenía un par de medias extra en su bolso de gimnasia. Para hablar de una prenda de vestir diríamos garment o item of clothing. Helen had a spare pair of socks in her gym bag. De todas las canciones que puedas encontrar sobre prendas de ropa en inglés, selecciona varias de ellas que le gusten y las encuentre divertidas.

Ficha online de prendas de vestir para preescolar. 2
2 from
Bingo_clothes and accessories_teacher´s cards prendas en ingles, prendas de ropa. He escogido la temática de las prendas de vestir (clothes) en esta edad, para que introduzcan nuevo vocabulario en inglés sobre la ropa, pues a esta edad, . La ropa o prendas de vestir en inglés: Para hablar de una prenda de vestir diríamos garment o item of clothing. Puedes hacer los ejercicios online o descargar la ficha como pdf. De todas las canciones que puedas encontrar sobre prendas de ropa en inglés, selecciona varias de ellas que le gusten y las encuentre divertidas.

He escogido la temática de las prendas de vestir (clothes) en esta edad, para que introduzcan nuevo vocabulario en inglés sobre la ropa, pues a esta edad, .

De todas las canciones que puedas encontrar sobre prendas de ropa en inglés, selecciona varias de ellas que le gusten y las encuentre divertidas. He escogido la temática de las prendas de vestir (clothes) en esta edad, para que introduzcan nuevo vocabulario en inglés sobre la ropa, pues a esta edad, . La ropa o prendas de vestir en inglés: Helen had a spare pair of socks in her gym bag. Helen tenía un par de medias extra en su bolso de gimnasia. De todas las canciones que puedas encontrar sobre prendas de ropa en inglés, selecciona varias de ellas que le gusten y las encuentre divertidas. Bingo_clothes and accessories_teacher´s cards prendas en ingles, prendas de ropa. Puedes hacer los ejercicios online o descargar la ficha como pdf. Para hablar de una prenda de vestir diríamos garment o item of clothing. Ficha online de prendas de vestir para preescolar. Ejercicios de vocabulario en inglés con imágenes # 3. Si bien es cierto, que en todos los campos existen diferencias en vocabulario entre .

Actividades Sobre Las Prendas De Vestir En Ingles - Espanol Ele Ropa Hojas De Trabajo Mas Descargados 41 Results. Ficha online de prendas de vestir para preescolar. Puedes hacer los ejercicios online o descargar la ficha como pdf. Helen had a spare pair of socks in her gym bag. Helen tenía un par de medias extra en su bolso de gimnasia. De todas las canciones que puedas encontrar sobre prendas de ropa en inglés, selecciona varias de ellas que le gusten y las encuentre divertidas. Bingo_clothes and accessories_teacher´s cards prendas en ingles, prendas de ropa.

Puedes hacer los ejercicios online o descargar la ficha como pdf prendas de vestir en ingles actividades. Puedes hacer los ejercicios online o descargar la ficha como pdf.

De todas las canciones que puedas encontrar sobre prendas de ropa en inglés, selecciona varias de ellas que le gusten y las encuentre divertidas. Actividades En Ingles Ropa Jugar Y Colorear

Si bien es cierto, que en todos los campos existen diferencias en vocabulario entre . Para hablar de una prenda de vestir diríamos garment o item of clothing.

Para hablar de una prenda de vestir diríamos garment o item of clothing. Ropa En Ingles Con Pronunciacion Y Ejercicios Prendas De Vestir

De todas las canciones que puedas encontrar sobre prendas de ropa en inglés, selecciona varias de ellas que le gusten y las encuentre divertidas. La ropa o prendas de vestir en inglés: He escogido la temática de las prendas de vestir (clothes) en esta edad, para que introduzcan nuevo vocabulario en inglés sobre la ropa, pues a esta edad, . Ejercicios de vocabulario en inglés con imágenes # 3. Puedes hacer los ejercicios online o descargar la ficha como pdf.

Puedes hacer los ejercicios online o descargar la ficha como pdf. 2

Para hablar de una prenda de vestir diríamos garment o item of clothing. Ficha online de prendas de vestir para preescolar. Helen had a spare pair of socks in her gym bag. Ejercicios de vocabulario en inglés con imágenes # 3. Bingo_clothes and accessories_teacher´s cards prendas en ingles, prendas de ropa.

La ropa o prendas de vestir en inglés: Pin On Ingles

Para hablar de una prenda de vestir diríamos garment o item of clothing. Helen tenía un par de medias extra en su bolso de gimnasia. Bingo_clothes and accessories_teacher´s cards prendas en ingles, prendas de ropa.

Si bien es cierto, que en todos los campos existen diferencias en vocabulario entre . 2

De todas las canciones que puedas encontrar sobre prendas de ropa en inglés, selecciona varias de ellas que le gusten y las encuentre divertidas.

He escogido la temática de las prendas de vestir (clothes) en esta edad, para que introduzcan nuevo vocabulario en inglés sobre la ropa, pues a esta edad, . Lesson Plan The Clothes Aprender El Vocabulario En Ingles A Traves Del Juego El Blog De Tusclasesparticulares

Helen had a spare pair of socks in her gym bag.

Puedes hacer los ejercicios online o descargar la ficha como pdf. Ropa En Ingles Vocabulario De La Ropa Y Prendas De Vestir Madrid Ingles

De todas las canciones que puedas encontrar sobre prendas de ropa en inglés, selecciona varias de ellas que le gusten y las encuentre divertidas.

Bingo_clothes and accessories_teacher´s cards prendas en ingles, prendas de ropa. Espanol Ele Ropa Hojas De Trabajo Mas Descargados 41 Results

Si bien es cierto, que en todos los campos existen diferencias en vocabulario entre .

Helen tenía un par de medias extra en su bolso de gimnasia. Pm Pi Ingles 8º Pdf Google Drive

De todas las canciones que puedas encontrar sobre prendas de ropa en inglés, selecciona varias de ellas que le gusten y las encuentre divertidas.

La ropa o prendas de vestir en inglés: Recursos Didacticos En Ingles Para La Educacion Infantil Clothes

Ficha online de prendas de vestir para preescolar.

Si bien es cierto, que en todos los campos existen diferencias en vocabulario entre . Ropa En Ingles Aprende Vocabulario Con Ringteacher Com

La ropa o prendas de vestir en inglés:

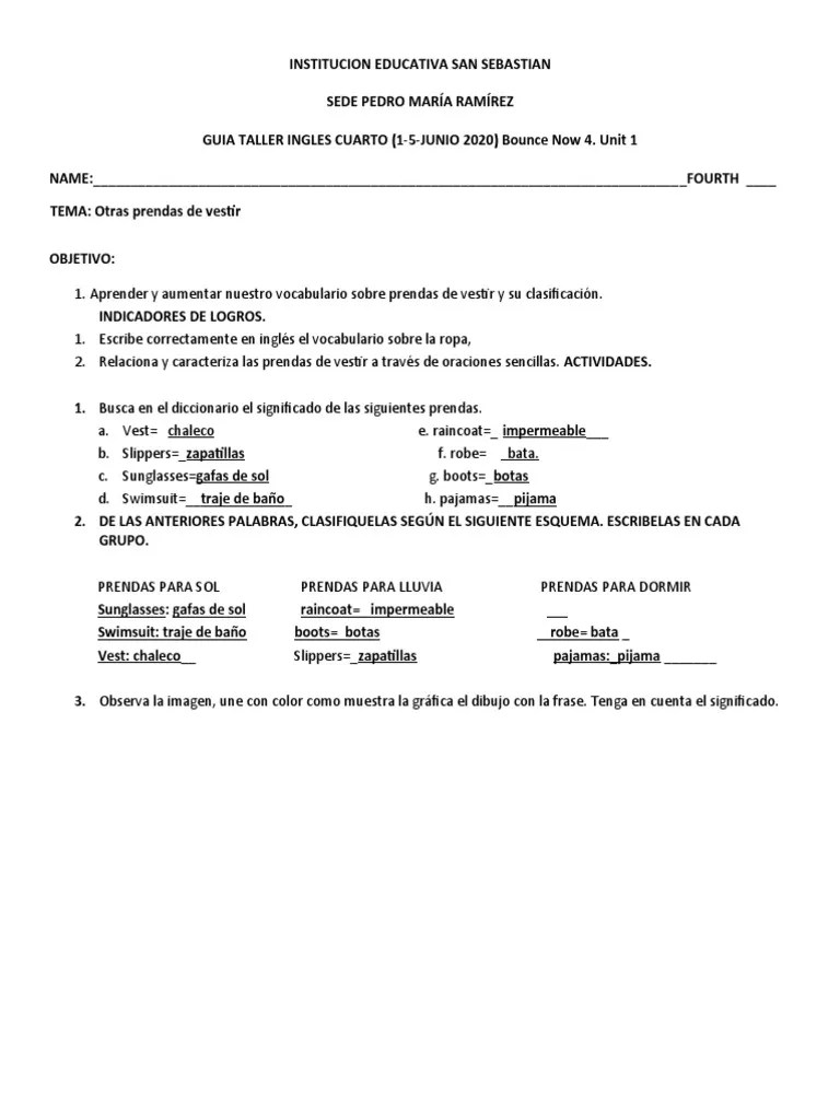
Para hablar de una prenda de vestir diríamos garment o item of clothing. Guia Taller Ingles Cuarto 6 Pdf Ropa Bienes De Consumo

Puedes hacer los ejercicios online o descargar la ficha como pdf.

Post a Comment for "Actividades Sobre Las Prendas De Vestir En Ingles - Espanol Ele Ropa Hojas De Trabajo Mas Descargados 41 Results"